近日,程扬帆教授课题组研究生陈子涵在TiH2/PTFE质量比对RDX基活性外壳型温压炸药爆轰性能的影响研究中取得重要进展。研究人员利用0.9 m3球形爆炸罐装置并结合比色测温技术,研究了TiH2/PTFE粉末质量比对温压炸药冲击波特征参数及后燃效应的影响,并探究了TiH2/PTFE最佳配比组在不同真空度下的能量释放特性。实验结果表明,适量PTFE能够有效改善RDX/TiH2/PTFE温压炸药的能量释放效率,且在TiH2/PTFE粉末配比为1:1时增益效应最优。研究结果可为温压炸药配方设计提供理论参考。该成果以“Influence of TiH2/PTFE mass ratio on the detonation performance of RDX-Based active shell thermobaric explosives”为题在线发表在《Defence Technology》杂志上。

图1 含PTFE粉末试样的爆炸反应机理

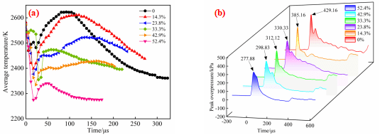
图2 不同真空度下RDX基温压炸药的:(a)平均爆炸温度-时间曲线;(b)压力-时间曲线
硕士研究生陈子涵是论文的第一作者,程扬帆教授为通讯作者,该项研究受到安徽省自然科学基金优秀青年项目(No.2023AH020026)、国家自然科学基金项目(Nos.12272001)等项目的资助。






